Lompat ke konten Lompat ke sidebar Lompat ke footer

Contoh Soal Logaritma Sederhana : Soal Dan Pembahasan Eksponen Dan Logaritma Pdf - Kumpulan Contoh Surat dan Soal Terlengkap

Contoh Soal Logaritma Sederhana : Soal Dan Pembahasan Eksponen Dan Logaritma Pdf - Kumpulan Contoh Surat dan Soal Terlengkap. Video pembelajaran eksponen versi 2 kelas x. 10 contoh flowchart sederhana algoritmanya penjelasan. Contoh soal logaritma sederhana yang dapat dengan mudah dipahami karena disertai dengan penjelasan dalam proses penyelesaian soalnya. Pelajari ringkasan materi, contoh soal eksponen kelas 10 & logaritma beserta pembahasan & jawaban lengkap dari soal un dan sbmptn. Masih ingat kan materi tentang bilangan berpangkat (eksponen)?

Secara sederhana, logaritma dapat disebut sebagai kebalikan dari perpangkatan atau eksponensial. Logaritma merupakan kebalikan dari perpangkatan atau eksponensial. Algoritma k means clustering dan contoh soal ketutrare. Contoh soal yang telah kami rangkum ini sering keluar dalam ulangan ataupun ujian nasional, jadi insyaallah sangat bermanfaat untuk siswa pelajari. Jadi apabila diketahui ax =b maka x dapat ditentukan dengan logaritma yang berbentuk x = a log b.

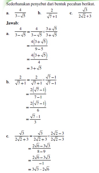
Latihan Soal Eksponen Dan Logaritma
Latihan Soal Eksponen Dan Logaritma from imgv2-1-f.scribdassets.com
Misalnya seperti, penjumlahan dengan pengurangan, perkalian dan pembagian, serta logaritma dengan eksponen dan masih banyak lagi yang lainnya. Video pembelajaran eksponen versi 2 kelas x. Masih ingat kan materi tentang bilangan berpangkat (eksponen)? Posted on february 9, 2021 by emma. Logaritma digunakan untuk menentukan besar pangkat dari suatu bilangan pokok. Operasi logaritma merupakan kebaliakan dari operasi perpangkatan untuk y>0, a>0, a ≠ 1, logaritma y dengan basis a ditulis alog y <—> ax = y. Logaritma adalah kebalikan dari perpangkatan. Pelajari pengertian sifat rumus persamaan pertidaksamaan tabel contoh soal.

Video pembelajaran eksponen versi 2 kelas x.

Operasi logaritma merupakan kebaliakan dari operasi perpangkatan untuk y>0, a>0, a ≠ 1, logaritma y dengan basis a ditulis alog y <—> ax = y. Secara sederhana, logaritma dapat disebut sebagai kebalikan dari perpangkatan atau eksponensial. Soal komprehensif algoritma dan pemrograman pdf document. Materi logaritma sma kelas 10 lengkap dengan contoh soal dan pembahasan. Tulis program untuk menentukan lama bekerja seorang pegawai, jika jammasuk dan jam pulang diinput. Contoh soal yang telah kami rangkum ini sering keluar dalam ulangan ataupun ujian nasional, jadi insyaallah sangat bermanfaat untuk siswa pelajari. Contoh sederhana penerapan algoritma apriori pada association rule. Teori tentang logaritma pertama kali diperkenalkan oleh ilmuwan yang bernama john napier yang lahir pada tahun 1550 di dekat edinburgh, skotlandia. Buat kalian yang ingin lebih jauh belajar mengenai materi ini bolehlah mengerjakan beberapa latihan soal yang akan kami bagikan ini. Pelajari pengertian sifat rumus persamaan pertidaksamaan tabel contoh soal. Secara umum logaritma ditulis dengan ac = b ⟺ alog b = c (a > 0, a ≠ 1, b > 0). Maksudnya setiap langkah yang tertulis harus sederhana sehingga dapat dikerjakan dalam waktu singkat dan contoh: Kali ini kami akan menghadirkan kumpulan contoh soal logaritma matematika kelas 10 (penjumlahan dan pengurangan) lengkap bersama kunci jawabannya dan pembahasannya lengkap.

Postingan ini membahas contoh soal logaritma dan pembahasannya atau penyelesaiannya + jawaban. Pengertian, rumus, sifat, contoh soal dan pembahasan. Logaritma digunakan untuk menentukan besar pangkat dari suatu bilangan pokok. Operasi logaritma merupakan kebaliakan dari operasi perpangkatan untuk y>0, a>0, a ≠ 1, logaritma y dengan basis a ditulis alog y <—> ax = y. Contoh soal eksponen kelas 10 dan logaritma berikut pembahasan dan jawaban.

24+ Contoh Soal Turunan Logaritma Natural - Kumpulan Contoh Soal
24+ Contoh Soal Turunan Logaritma Natural - Kumpulan Contoh Soal from img.dokumen.tips
Rumus dasar logaritma digunakan untuk mempermudah kita menyelesaikan masalah terkait logaritma. Logaritma digunakan untuk menentukan besar pangkat dari suatu bilangan pokok. Yang mana pada pertemuan sebelumnya juga kita telah membahas materi tentang limas segitiga baiklah untuk lebih lengkapnya sobat bisa simak ulasannya dibawah ini. Misalnya seperti, penjumlahan dengan pengurangan, perkalian dan pembagian, serta logaritma dengan eksponen dan masih banyak lagi yang lainnya. Operasi logaritma merupakan kebaliakan dari operasi perpangkatan untuk y>0, a>0, a ≠ 1, logaritma y dengan basis a ditulis alog y <—> ax = y. Berikut ini adalah contoh algoritma sederhana sebagai interval halving (pembagi interval) untuk mencari akar persamaan tersebut dengan cara pendekatan (bisa ada selisih 0,001 dari akar yang sebenarnya) contoh soal algoritma sederhana. Pelajari pengertian sifat rumus persamaan pertidaksamaan tabel contoh soal. Bentuk akar merupakan akar dari bilangan rasional yang hasilnya ialah bilangan irasional (bukan bilangan rasional).

Video pembelajaran eksponen versi 2 kelas x.

Teori tentang logaritma pertama kali diperkenalkan oleh ilmuwan yang bernama john napier yang lahir pada tahun 1550 di dekat edinburgh, skotlandia. Tulis program untuk menentukan lama bekerja seorang pegawai, jika jammasuk dan jam pulang diinput. Logaritma dari suatu bilangan berpangkat sama dengan hasil kali dari pangkat dan bilangan tersebut, yaitu : Algoritma k means clustering dan contoh soal ketutrare. Pengertian, rumus, sifat, contoh soal dan pembahasan. Video pembelajaran eksponen versi 2 kelas x. Membuat flowchart langsung di microsoft word 2007 anita s. Pelajari ringkasan materi, contoh soal eksponen kelas 10 & logaritma beserta pembahasan & jawaban lengkap dari soal un dan sbmptn. Materi logaritma sma kelas 10 lengkap dengan contoh soal dan pembahasan. Pelajari pengertian sifat rumus persamaan pertidaksamaan tabel contoh soal. Buat kalian yang ingin lebih jauh belajar mengenai materi ini bolehlah mengerjakan beberapa latihan soal yang akan kami bagikan ini. 10 contoh flowchart sederhana algoritmanya penjelasan. Kali ini kami akan menghadirkan kumpulan contoh soal logaritma matematika kelas 10 (penjumlahan dan pengurangan) lengkap bersama kunci jawabannya dan pembahasannya lengkap.

Dengan a adalah bilangan pokok atau basis, y adalah bilangan yang dicari logaritmannya atau numerous, dan x adalah bilangan hasil logaritma. Rumus dasar logaritma digunakan untuk mempermudah kita menyelesaikan masalah terkait logaritma. Masih ingat kan materi tentang bilangan berpangkat (eksponen)? Pelajari ringkasan materi, contoh soal eksponen kelas 10 & logaritma beserta pembahasan & jawaban lengkap dari soal un dan sbmptn. Contohnya perpangkatan ab=c, maka untuk menghitung nilai c kita dapat menggunakan logaritma seperi di bawah ini

10B - ASST 2012 Portal Sederhana - Contoh _ Soal.pdf
10B - ASST 2012 Portal Sederhana - Contoh _ Soal.pdf from imgv2-2-f.scribdassets.com
Home komputer teknologi algoritma apriori : Tulis program untuk menentukan lama bekerja seorang pegawai, jika jammasuk dan jam pulang diinput. Berikut ini adalah contoh algoritma sederhana sebagai interval halving (pembagi interval) untuk mencari akar persamaan tersebut dengan cara pendekatan (bisa ada selisih 0,001 dari akar yang sebenarnya) contoh soal algoritma sederhana. Contohnya perpangkatan ab=c, maka untuk menghitung nilai c kita dapat menggunakan logaritma seperi di bawah ini Teori tentang logaritma pertama kali diperkenalkan oleh ilmuwan yang bernama john napier yang lahir pada tahun 1550 di dekat edinburgh, skotlandia. 10+ contoh flowchart sederhana beserta algoritma dan penjelasannya. Bentuk akar merupakan akar dari bilangan rasional yang hasilnya ialah bilangan irasional (bukan bilangan rasional). Buat kalian yang ingin lebih jauh belajar mengenai materi ini bolehlah mengerjakan beberapa latihan soal yang akan kami bagikan ini.

Dengan a adalah bilangan pokok atau basis, y adalah bilangan yang dicari logaritmannya atau numerous, dan x adalah bilangan hasil logaritma.

Postingan ini membahas contoh soal logaritma dan pembahasannya atau penyelesaiannya + jawaban. Contoh soal yang telah kami rangkum ini sering keluar dalam ulangan ataupun ujian nasional, jadi insyaallah sangat bermanfaat untuk siswa pelajari. 10+ contoh flowchart sederhana beserta algoritma dan penjelasannya. Logaritma merupakan kebalikan dari perpangkatan atau eksponensial. Kali ini kami akan menghadirkan kumpulan contoh soal logaritma matematika kelas 10 (penjumlahan dan pengurangan) lengkap bersama kunci jawabannya dan pembahasannya lengkap. 10 contoh flowchart sederhana algoritmanya penjelasan. Masih ingat kan materi tentang bilangan berpangkat (eksponen)? Pengertian, rumus, sifat, contoh soal dan pembahasan. Logaritma dari suatu bilangan berpangkat sama dengan hasil kali dari pangkat dan bilangan tersebut, yaitu : Posted on february 9, 2021 by emma. By sarifah farrah fadillah updated: Maksudnya setiap langkah yang tertulis harus sederhana sehingga dapat dikerjakan dalam waktu singkat dan contoh: Pelajari pengertian sifat rumus persamaan pertidaksamaan tabel contoh soal.

Posting Komentar untuk "Contoh Soal Logaritma Sederhana : Soal Dan Pembahasan Eksponen Dan Logaritma Pdf - Kumpulan Contoh Surat dan Soal Terlengkap"